An Introduction To Statics
An Introduction To Statics
Mechanics is the physical science which deals with the effects of forces on objects. No other subject plays a greater role in engineering analysis than mechanics. Although the principles of mechanics are few, they have wide application in engineering. The principles of mechanics are central to research and development in the fields of vibrations, stability and strength of structures and machines, robotics, rocket and spacecraft design, automatic control, engine performance, fluid flow,
electrical machines and apparatus, and molecular, atomic, and subatomic behavior. A thorough understanding of this subject is an essential prerequisite for work in these and many other fields.
The study of Statics is the fundamental examination of the effects of forces upon objects. Often referred to as the primary discipline within the field of Engineering Mechanics,
statics explores the behavior of bodies that are at rest or move at a constant velocity. Dynamics is the subsequent study of bodies moving at a variable velocity (accelerating or decelerating).
Basic Concepts
The following concepts and definitions are basic to the study of mechanics, and they should be understood at the outset. Space is the geometric region occupied by bodies whose positions
are described by linear and angular measurements relative to a coordinate system.
are described by linear and angular measurements relative to a coordinate system.
For three-dimensional problems, three independent coordinates are needed.
For two-dimensional problems, only two coordinates are required.
Time
is the measure of the succession of events and is a basic quantity in dynamics. Time is not directly involved in the analysis of statics problems.
Mass
is a measure of the inertia of a body, which is its resistance to a change of velocity. Mass can also be thought of as the quantity of matter in a body. The mass of a body affects the gravitational attraction
is a measure of the inertia of a body, which is its resistance to a change of velocity. Mass can also be thought of as the quantity of matter in a body. The mass of a body affects the gravitational attraction
force
between it and other bodies. This force appears in many applications in statics. Force is the action of one body on another. A force tends to move a body in the direction of its action. The action of a force is characterized by its magnitude, by the direction of its action, and by its point of application.
between it and other bodies. This force appears in many applications in statics. Force is the action of one body on another. A force tends to move a body in the direction of its action. The action of a force is characterized by its magnitude, by the direction of its action, and by its point of application.
A particle
is a body of negligible dimensions. In the mathematical sense, a particle is a body whose dimensions are considered to be near zero so that we may analyze it as a mass concentrated at a point.
is a body of negligible dimensions. In the mathematical sense, a particle is a body whose dimensions are considered to be near zero so that we may analyze it as a mass concentrated at a point.
We often choose a particle as a differential element of a body. We may treat a body as a particle when its dimensions are irrelevant to the description of its position or the action of forces applied to it.
Rigid body.
A body is considered rigid when the change in distance between any two of its points is negligible for the purpose at hand. For instance, the calculation of the tension in the cable which supports the
A body is considered rigid when the change in distance between any two of its points is negligible for the purpose at hand. For instance, the calculation of the tension in the cable which supports the
boom of a mobile crane under load is essentially unaffected by the small internal deformations in the structural members of the boom. For the purpose, then, of determining the external forces which act on the boom, we may treat it as a rigid body. Statics deals primarily with the calculation of external forces which act on rigid bodies in equilibrium. Determination of the internal deformations belongs to the study of the mechanics of deformable bodies, which normally follows statics in the curriculum
Scalars and Vectors
We use two kinds of quantities in mechanics—scalars and vectors. Scalar quantities are those with which only a magnitude is associated.
Examples of scalar quantities are time, volume, density, speed, energy, Vector quantities, on the other hand, possess direction as well as magnitude, and must obey the parallelogram law of addition as described later in this article. Examples of vector quantities are displacement, velocity, acceleration, force, moment, and momentum. Speed is a scalar. It is the magnitude of velocity, which is a vector. Thus velocity is specified by a direction as well as a speed. Vectors representing physical quantities can be classified as free, sliding, or fixed.
A free vector is one whose action is not confined to or associated with a unique line in space. For example, if a body moves without rotation, then the movement or displacement of any point in the body may be taken as a vector. This vector describes equally well the direction and magnitude of the displacement of every point in the body. Thus, we may represent the displacement of such a body by a free vector.
A sliding vector has a unique line of action in space but not a unique point of application. For example, when an external force acts on a rigid body, the force can be applied at any point along its line of action without changing its effect on the body as a whole, and thus it is a sliding
vector.
A fixed vector is one for which a unique point of application is specified. The action of a force on a deformable or nonrigid body must be specified by a fixed vector at the point of application of the force. In this instance the forces and deformations within the body depend on the point of application of the force, as well as on its magnitude and line of action.
Conventions for Equations and Diagrams
A vector quantity V is represented by a line segment, having the direction of the vector and having an arrowhead to indicate the sense.
A vector quantity V is represented by a line segment, having the direction of the vector and having an arrowhead to indicate the sense.
![]() |
| fig 1 |
The length of the directed line segment represents to some convenient scale the magnitude |V|of the vector, which is printed with lightface italic type V.
For example, we may choose a scale such that an
arrow one inch long represents a force of twenty pounds.
In scalar equations, and frequently on diagrams where only the
magnitude of a vector is labeled, the symbol will appear in lightface
italic type.
Boldface type is used for vector quantities whenever the directional aspect of the vector is a part of its mathematical representation.
When writing vector equations, always be certain to preserve the mathematical distinction between vectors and scalars. In handwritten work, use a distinguishing mark for each vector quantity, such as an underline, V, or an arrow over the symbol, , to take the place of boldface type in print.
Working with Vectors
The direction of the vector V may be measured by an angle 𝝝 . The negative of V is a vector - V having the same magnitude as V but directed in the sense opposite to V, Vectors must obey the parallelogram law of combination. This law states that two vectors V1 and V2, treated as free vectors, Fig2,a. next, may be replaced by their equivalent vector V, which is the diagonal of the parallelogram formed by V1 and V2 as its two sides, as shown in Fig2,b. This combination is called the vector sum, and is represented by the vector equation
V = V1 +V2
![]() |
| fig 2 |
where the plus sign, when used with the vector quantities (in boldface type), means vector and not scalar addition.
The scalar sum of the magnitudes of the two vectors is written in the usual way as V1 + V2. The
geometry of the parallelogram shows that V ≠V1 + V2.
The two vectors V1 and V2, again treated as free vectors, may also be added head-to-tail by the triangle law, as shown in Fig. 2 c, to obtain the identical vector sum V. We see from the diagram that the order of addition of the vectors does not affect their sum, so that V1 +V2= V2+ V1.
The difference V1-V2 between the two vectors is easily obtained by adding -V2 to V1 as shown in Fig. 3, where either the triangle or parallelogram procedure may be used. The difference V′ between the two vectors is expressed by the vector equation
where the minus sign denotes vector subtraction.
Any two or more vectors whose sum equals a certain vector V are said to be the components of that vector. Thus, the vectors V1 and V2 in Fig. 4a are the components of V in the directions 1 and 2, respectively. It is usually most convenient to deal with vector components which aremutually perpendicular; these are called rectangular components.
The vectors Vx and Vy in Fig. 4b are the x- and y-components, respectively, of V. Likewise, in Fig. 4c, Vx′and Vy′ are the x′ and y′components of V. When expressed in rectangular components, the direction of the vector with respect to, say, the x-axis is clearly specified by the angle 𝚹 where
A vector V may be expressed mathematically by multiplying its magnitude V by a vector n whose magnitude is one and whose direction coincides with that of V. The vector n is called a unit vector. Thus,
Sir Isaac Newton was the first to state correctly the basic laws governing the motion of a particle and to demonstrate their validity.Slightly reworded with modern terminology, these laws are:
Law I.
A particle remains at rest or continues to move with uniform velocity (in a straight line with a constant speed) if there is no unbalanced force acting on it.
Law II.
The acceleration of a particle is proportional to the vector sum of forces acting on it, and is in the direction of this vector sum.
Law III.
The forces of action and reaction between interacting bodies are equal in magnitude, opposite in direction, and collinear (they lie on the same line).
The correctness of these laws has been verified by innumerable accurate physical measurements. Newton’s second law forms the basis for most of the analysis in dynamics. As applied to a particle of mass m, it may be stated as
Newton’s first law contains the principle of the equilibrium of forces, which is the main topic of concern in statics. This law is actually a consequence of the second law, since there is no acceleration when the force is zero, and the particle either is at rest or is moving with a uniform velocity. The first law adds nothing new to the description of motion but is included here because it was part of Newton’s classical statements.
The third law is basic to our understanding of force. It states that forces always occur in pairs of equal and opposite forces. Thus, the downward force exerted on the desk by the pencil is accompanied by an upward force of equal magnitude exerted on the pencil by the desk. This principle holds for all forces, variable or constant, regardless of their source, and holds at every instant of time during which the forces are applied. Lack of careful attention to this basic law is the cause of frequent error by the beginner.
In the analysis of bodies under the action of forces, it is absolutely necessary to be clear about which force of each action–reaction pair is being considered. It is necessary first of all to isolate the body under consideration and then to consider only the one force of the pair which acts on the body in question.
Units
SI Units
force (N) = mass (kg)× acceleration (m/s²)
N = kg × m/s²
W (N) =m (kg) × g (m/s²)
the weight W of the body
U.S. Customary Units
force (lb) =mass (slugs)× acceleration (ft/sec²),
slug = (lb-sec²)/ft
m (slugs)=W (lb) /g (ft/sec²)
Law of Gravitation
In statics as well as dynamics we often need to compute the weight of a body, which is the gravitational force acting on it. This computation depends on the law of gravitation, which was also formulated by Newton. The law of gravitation is expressed by the equation
G= a universal constant known as the constant of gravitation
m1, m2=the masses of the two particles
r = the distance between the centers of the particles
The mutual forces F obey the law of action and reaction, since they are equal and opposite and are directed along the line joining the centers of the particles, as shown in Fig. 5. By experiment the gravitational constant is found to be G = 6.673(10⁻¹¹) m³/(kg.s²).
Gravitational forces exist between every pair of bodies. On the surface of the earth the only gravitational force of appreciable magnitude is the force due to the attraction of the earth. .
The gravitational attraction of the earth on a body (its weight) exists whether the body is at rest or in motion. Because this attraction is a force, the weight of a body should be expressed in newtons (N) in SI units and in pounds (lb) in U.S. customary units. Unfortunately in common practice the mass unit kilogram (kg) has been frequently used as a measure of weight. This usage should disappear in
time as SI units become more widely used, because in SI units the kilogram is used exclusively for mass and the newton is used for force, including weight.
For a body of mass m near the surface of the earth, the gravitational attraction F on the body is specified by Eq.above. We usually denote themagnitude of this gravitational force or weight with the symbol W
The true weight (gravitational attraction) and the apparent weight (as measured by a spring scale) are slightly different. The difference,which is due to the rotation of the earth
Accuracy, Limits, and Approximations
When calculations involve small differences in large quantities, greater accuracy in the data is required to achieve a given accuracy in the results
Differentials
The order of differential quantities frequently causes misunderstanding in the derivation of equations. Higher-order differentials may always be neglected compared with lower-order differentials when the
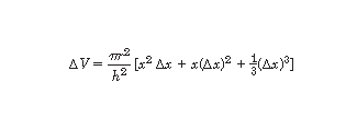
mathematical limit is approached. For example, the element of volume ∆V of a right circular cone of altitude h and base radius r may be taken to be a circular slice a distance x from the vertex and of thickness ∆x. The expression for the volume of the element is
Note that, when passing to the limit in going from ∆V to dV and from ∆x to dx, the terms containing (∆x)² and (∆x)³ drop out, leaving merely
which gives an exact expression when integrated
Solution Methods
Solutions to the problems of statics may be obtained in one or more of the following ways.
1. Obtain mathematical solutions by hand, using either algebraic symbols or numerical values. We can solve most problems this way.
2. Obtain graphical solutions for certain problems.
3. Solve problems by computer. This is useful when a large number of equations must be solved, when a parameter variation must be studied, or when an intractable equation must be solved.
V′=V1 -V2
![]() |
| fig 3 |
Any two or more vectors whose sum equals a certain vector V are said to be the components of that vector. Thus, the vectors V1 and V2 in Fig. 4a are the components of V in the directions 1 and 2, respectively. It is usually most convenient to deal with vector components which aremutually perpendicular; these are called rectangular components.
![]() |
| fig 4 |
The vectors Vx and Vy in Fig. 4b are the x- and y-components, respectively, of V. Likewise, in Fig. 4c, Vx′and Vy′ are the x′ and y′components of V. When expressed in rectangular components, the direction of the vector with respect to, say, the x-axis is clearly specified by the angle 𝚹 where
A vector V may be expressed mathematically by multiplying its magnitude V by a vector n whose magnitude is one and whose direction coincides with that of V. The vector n is called a unit vector. Thus,
V=Vn
you can consider this way same on 3d ones
V = Vxi + Vy j+Vzk
Newton’s LawsSir Isaac Newton was the first to state correctly the basic laws governing the motion of a particle and to demonstrate their validity.Slightly reworded with modern terminology, these laws are:
Law I.
A particle remains at rest or continues to move with uniform velocity (in a straight line with a constant speed) if there is no unbalanced force acting on it.
Law II.
The acceleration of a particle is proportional to the vector sum of forces acting on it, and is in the direction of this vector sum.
Law III.
The forces of action and reaction between interacting bodies are equal in magnitude, opposite in direction, and collinear (they lie on the same line).
The correctness of these laws has been verified by innumerable accurate physical measurements. Newton’s second law forms the basis for most of the analysis in dynamics. As applied to a particle of mass m, it may be stated as
F = ma
where F is the vector sum of forces acting on the particle and a is the resulting acceleration. This equation is a vector equation because the direction of F must agree with the direction of a, and the magnitudes of F and ma must be equalNewton’s first law contains the principle of the equilibrium of forces, which is the main topic of concern in statics. This law is actually a consequence of the second law, since there is no acceleration when the force is zero, and the particle either is at rest or is moving with a uniform velocity. The first law adds nothing new to the description of motion but is included here because it was part of Newton’s classical statements.
The third law is basic to our understanding of force. It states that forces always occur in pairs of equal and opposite forces. Thus, the downward force exerted on the desk by the pencil is accompanied by an upward force of equal magnitude exerted on the pencil by the desk. This principle holds for all forces, variable or constant, regardless of their source, and holds at every instant of time during which the forces are applied. Lack of careful attention to this basic law is the cause of frequent error by the beginner.
In the analysis of bodies under the action of forces, it is absolutely necessary to be clear about which force of each action–reaction pair is being considered. It is necessary first of all to isolate the body under consideration and then to consider only the one force of the pair which acts on the body in question.
Units
SI Units
force (N) = mass (kg)× acceleration (m/s²)
N = kg × m/s²
W (N) =m (kg) × g (m/s²)
the weight W of the body
U.S. Customary Units
force (lb) =mass (slugs)× acceleration (ft/sec²),
slug = (lb-sec²)/ft
m (slugs)=W (lb) /g (ft/sec²)
Law of Gravitation
In statics as well as dynamics we often need to compute the weight of a body, which is the gravitational force acting on it. This computation depends on the law of gravitation, which was also formulated by Newton. The law of gravitation is expressed by the equation
F =(G m1 m2) / r²
where F = the mutual force of attraction between two particlesG= a universal constant known as the constant of gravitation
m1, m2=the masses of the two particles
r = the distance between the centers of the particles
The mutual forces F obey the law of action and reaction, since they are equal and opposite and are directed along the line joining the centers of the particles, as shown in Fig. 5. By experiment the gravitational constant is found to be G = 6.673(10⁻¹¹) m³/(kg.s²).
Gravitational forces exist between every pair of bodies. On the surface of the earth the only gravitational force of appreciable magnitude is the force due to the attraction of the earth. .
The gravitational attraction of the earth on a body (its weight) exists whether the body is at rest or in motion. Because this attraction is a force, the weight of a body should be expressed in newtons (N) in SI units and in pounds (lb) in U.S. customary units. Unfortunately in common practice the mass unit kilogram (kg) has been frequently used as a measure of weight. This usage should disappear in
time as SI units become more widely used, because in SI units the kilogram is used exclusively for mass and the newton is used for force, including weight.
For a body of mass m near the surface of the earth, the gravitational attraction F on the body is specified by Eq.above. We usually denote themagnitude of this gravitational force or weight with the symbol W
W = mg
The weight W will be in newtons (N) when the mass m is in kilograms (kg) and the acceleration of gravity g is in meters per second squared (m/s²).The true weight (gravitational attraction) and the apparent weight (as measured by a spring scale) are slightly different. The difference,which is due to the rotation of the earth
Accuracy, Limits, and Approximations
When calculations involve small differences in large quantities, greater accuracy in the data is required to achieve a given accuracy in the results
Differentials
The order of differential quantities frequently causes misunderstanding in the derivation of equations. Higher-order differentials may always be neglected compared with lower-order differentials when the
mathematical limit is approached. For example, the element of volume ∆V of a right circular cone of altitude h and base radius r may be taken to be a circular slice a distance x from the vertex and of thickness ∆x. The expression for the volume of the element is
Note that, when passing to the limit in going from ∆V to dV and from ∆x to dx, the terms containing (∆x)² and (∆x)³ drop out, leaving merely
which gives an exact expression when integrated
Solution Methods
Solutions to the problems of statics may be obtained in one or more of the following ways.
1. Obtain mathematical solutions by hand, using either algebraic symbols or numerical values. We can solve most problems this way.
2. Obtain graphical solutions for certain problems.
3. Solve problems by computer. This is useful when a large number of equations must be solved, when a parameter variation must be studied, or when an intractable equation must be solved.
Labels: MECHANICS

















0 Comments:
Post a Comment
thanks for your visit
Subscribe to Post Comments [Atom]
<< Home